Recent News

  • Using Nonlinear Differential Equations to Formulate a Novel Approach to Combat HIV-1 December 11, 2023

    koyel-paper

    The combat against HIV, the virus responsible for AIDS has witnessed consistent advancements and studies put forward by researchers in various fields. To identify a more intelligent and effective approach to combat HIV-1 and enhance the understanding of the workings of its treatments, Dr Koyel Chakravarty, Assistant Professor, Department of Mathematics has published a paper titled “Mathematical modelling of HIV-1 transcription inhibition: a comparative study between optimal control and impulsive approach” in the Q2 journal, Journal of Computational and Applied Mathematics.

    Abstract

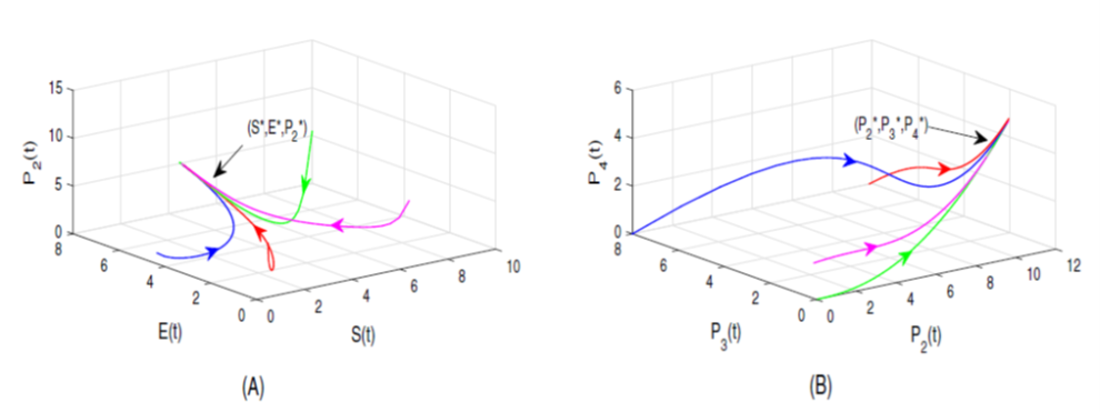
    By adopting a proactive strategy, this study facilitates the interaction with human immunodeficiency virus type I (HIV-1), successfully navigating its sequential fusion stages. This approach enables efficient infiltration of the virus into a target CD4+T helper cell within the host organism, initiating the virus’s replication cycle. As a retrovirus, HIV-1 orchestrates the conversion of its single-stranded viral RNA genome into a more stable double-stranded DNA structure. The newly formed DNA integrates with the host cell’s genetic material, and the pro-viral DNA transforms into functional messenger RNA (mRNA) with the assistance of the host enzyme RNA polymerase II (Pol II).

    The ongoing research focuses on constructing a meticulous mathematical framework using a system of nonlinear differential equations. The investigation aims to assess the impact of a Tat inhibitor on suppressing the transcriptional activity of HIV-1, treating it as an optimal control problem. The study also evaluates the Tat inhibitor’s efficacy as a potential therapeutic intervention for HIV-1 infection. Employing a one-dimensional impulsive differential equation model to determine the mathematically derived maximum concentration of the elongating complex (P2), the research considers the crucial aspect of optimal timing between successive dosages. A comparative analysis contrasts the effects of continuous dosing with impulse dosing of the Tat inhibitor, using numerical analysis to evaluate outcomes. The findings underscore the superior effectiveness of impulsive dosing over continuous dosing in inhibiting HIV-1 transcription. Visual representations of the model’s parameter sensitivities enhance understanding of the intricate physiological and biochemical processes within the system.

    Practical implementation/social implications of the research

    1. Treatment Optimization:

    Practical Implementation: Develop personalized treatment plans for individuals with HIV-1 based on the optimal control and impulsive approaches identified in the study.

    Social Implication: Improve the effectiveness of HIV-1 treatments, potentially leading to better health outcomes and a higher quality of life for individuals living with the virus.

    2. Drug Administration Guidelines:

    Practical Implementation: Provide guidelines for healthcare professionals on the timing and dosage of Tat inhibitors using insights from the comparative study.

    Social Implication: Enhance the efficiency of drug administration, potentially reducing side effects and improving patient adherence to treatment regimens.

    koyel-research

    3. Public Health Planning:

    Practical Implementation: Incorporate the study’s findings into public health planning, considering the optimal and impulsive control strategies in broader HIV-1 prevention and treatment programs.

    Social Implication: Contribute to more effective and resource-efficient public health interventions, potentially reducing the overall burden of HIV-1 in communities.

    4. Drug Development Strategies:

    Practical Implementation: Inform pharmaceutical companies and researchers about the comparative study results to guide the development of new HIV-1 inhibitors or improvements to existing drugs.

    Social Implication: Accelerate the development of more potent and targeted therapies, offering new options for managing HIV-1 infections.

    5. Patient Education:

    Practical Implementation: Develop educational materials for individuals with HIV-1, explaining the importance of adherence to optimized treatment plans based on the study’s findings.

    Social Implication: Empower patients to actively participate in their treatment, potentially leading to better treatment outcomes and reduced transmission rates.

    6. Policy Recommendations:

    Practical Implementation: Present policy recommendations to healthcare institutions and government agencies based on the study’s outcomes.

    Social Implication: Influence health policies to integrate the most effective strategies for HIV-1 transcription inhibition, potentially contributing to more efficient resource allocation and improved public health outcomes.

    7. Global Health Impact:

    Practical Implementation: Collaborate with international health organizations to disseminate the study’s findings globally.

    Social Implication: Contribute to global efforts in controlling the HIV-1 pandemic, fostering collaboration and knowledge-sharing among nations.

    koyel-research2

    8. Reduced Healthcare Costs:

    Practical Implementation: If the impulsive approach proves more cost-effective, healthcare systems can implement this strategy to potentially reduce the overall cost of HIV-1 treatment

    Social Implication: Alleviate financial burdens on both individuals and healthcare systems, making HIV-1 treatment more accessible

    In summary, the practical implementation and social implications of this study extend from optimizing individual treatment plans to influencing global health policies, ultimately contributing to more effective HIV-1 management and improved public health outcomes.

    Collaborations

    • Prof. D C Dalal, Professor, Department of Mathematics, IIT Guwahati
    • Prof. A K Sarkar, Professor, Centre for Mathematical Biology and Ecology, Department of Mathematics, Jadavpur University
    • Dr L N Guin, Associate Professor, Department of Mathematics, Visva-Bharati

    Future Prospects of the Research

    • Mathematical Modelling of Cholesterol Dynamics.
    • Mathematical Modelling of Muscle Regeneration.
    • Mathematical Modelling of Bone Remodelling
    • Mathematical Modelling of Glucose-Insulin Dynamics.
    • Mathematical Modelling on HIV-1 Transcription.
    • Mathematical Modelling of Population Dynamics for Patients suffering from Diabetes.

    Link to the Article

    Continue reading →
  • SRM University-AP hosted AIS School on p-adic methods in Arithmetic September 8, 2023

    AIS_group_photo_3

    The Department of Mathematics, in collaboration with the National Centre for Mathematics, organised an AIS school on p-adic methods in Arithmetic from June 26 to July 15, 2023 at the campus. Over 58 students, research scholars, post-doc fellows and faculty from reputed universities such as IIT Hyderabad, IIT Guwahati, IISER, University of Hyderabad, Pondicherry University, Banaras Hindu University etc. participated in the three-week-long AIS school, which was conducted with the prime objective to study the p-adic numbers and the p-adic methods in arithmetic.

    Prof. C S Rajan, Ashoka University; Dr Manish Kumar Pandey and Dr Sazzad Ali Biswas, SRM University-AP; Dr Amiya Kumar Mondal, IISER Berhampur; Dr Santosh Nadimpalli, IIT Kanpur; Dr Shaunak Deo, IISc, Bangalore; and Dr Mihir Sheth, Post-Doc, IISc, Bangalore were the speakers at the school. The sessions were delivered in collaboration with course associates /tutors. Dr Arindam Jana, Postdoc, TIFR Mumbai; Dr Ravitheja Vangola, Postdoc, IISC Bangalore; Mr Sagar Shrivastava, Mr Manodeep Raha, and Mr Niladri Sekhar Patra, PhD scholar, TIFR Mumbai were the tutors mentoring the participants.

    ais-school

    Prof. C S Rajan delivered 9 lectures – four lectures in the first week of the programme and five lectures at the end of the programme. The first part of his session covered topics such as Hensel’s Lemma and Local-Global Principle while the latter part focused on the Main Conjecture of Iwasawa Theory and Introduction to the work of Ribet (Converse to Herbrand) and subsequent work.

    Dr Sazzad Ali Biswas offered his insights on topics like Construction of p-adic numbers, Various Properties (algebraic and Analytic) of p-adic numbers, Arithmetic operations of p-adic numbers and Local-Global Principle in five sessions. Dr Manish Kumar Pandey gave two lectures on the Special values of the Riemann zeta functions.

    Local Fields, Global Fields and p-adic algebraic numbers were the focal points of the four lectures delivered by Dr Mihir Sheth. Dr Amiya Kumar Mondal took five lectures on Modular Forms and Dr Santosh Nadimpally gave five lectures on the Construction of p-adic zeta functions and the Various properties of p-adic Zeta function. Dr Shaunak Deo dealt with topics including Cyclotomic Fields, Iwasawa’s Construction of p-adic L-fucntions and p-adic Family of Modular Forms through six lectures.

    The AIS School was organised by Prof. C S Rajan of Ashoka University and Assistant Professors Dr Manish Kumar Pandey and Dr Sazzad Ali Biswas of the Department of Mathematics at SRM University-AP. The programme successfully concluded with the active participation of students, scholars and faculty who assembled to exchange constructive discourse on p-adic methods in Arithmartics.

    Continue reading →
  • DST SERB-SURE Grants Funding for Mathematics Project May 24, 2023

    Dr Sandeep Project

    The Department of Mathematics is glad to announce that the project of Dr Sandeep Kumar Verma, Assistant Professor, titled “Investigation and development of wavelet transform and its applications in the framework of fractional Dunkl transform”, has been selected to be funded by DST, Govt. of India under SERB-SURE Scheme, securing an approved grant of 20.13 Lacs. Dr Sandeep Kumar Verma is the Principal Investigator of the project.

    Title of the Project: Investigation and development of wavelet transform and its applications in the framework of fractional Dunkl transform

    Approved Grant: 20.13 Lacs (As per university calculation)

    Funded by: DST, Govt. of India under SERB-SURE Scheme

    PI: Dr Sandeep Kumar Verma, Assistant Professor, Department of Mathematics

    Project Summary: Dunkl operators are differential-difference operators associated with finite reflection groups in a Euclidean space. Dunkl transform is attracting widespread interest and giving us new perspectives on familiar topics from Harmonic Analysis and Partial Differential Equations. The fractional Dunkl transform (FRDT), which is introduced with one extra parameter, is the generalization of the well-known signal processing operations, such as the Fourier transform (FT), the fractional Fourier transform (FRFT), the Fresnel transform, Hankel transforms, fractional Hankel transforms, and the Dunkl transform. The FRDT will also find applications in the solution of optical systems, filter design, time-frequency analysis, and many others. The wavelet transforms (WT), which has had a growing importance in optics and signal processing, has been shown to be a successful tool for time-frequency analysis and image processing. It has found many applications in time-dependent frequency analysis of short-transient signals, data compression, optical correlators, sound analysis, representation of fractal aggregates, and many others.

    The fractional wavelet transforms (FRWT) based on the fractional Fourier transform, which generalizes the classical wavelet transform, has proven potentially useful for signal processing, data compression, pattern recognition, and computer graphics. Thus, fractional wavelet transform gives more flexibility for time-frequency analysis than the usual wavelet transforms. As a generalization of the WT, a novel fractional Dunkl wavelet transform (FRDWT) can combine the advantages of the WT and the FRDT, i.e., it will be a linear transformation without cross-term interference and will be capable of providing multiresolution analysis and representing signals in the fractional domain. Simultaneously, compared to the Dunkl transforms, FRDT is more flexible for its one extra degree of freedom and can be used frequently in time-frequency analysis and non-stationary signal processing. Inspired by the fractional wavelet transform (FRWT), we introduce the concept of the (FRDWT), combining the idea of FRDT and WT. The proposed transform will not only inherit the advantages of multiresolution analysis of the WT, but also will have the capability of signal representations in the fractional Dunkl transform domain. Compared with the existing WT, the fractional Dunkl wavelet transform can offer signal representations in the time-fractional-frequency plane in the FRDT domain.

    Continue reading →
  • SERB- SURE Grants: 10 projects worth 2.50 crores awarded to SRM AP May 16, 2023

    SERB SURE GRANTS

    The faculty of SRM University-AP have been awarded 10 projects worth 2.50 crores from the Science and Engineering Research Board  (SERB-SURE). Department of Science and Technology (DST) received a total of 2000 proposals, of which 466 were sanctioned. Among the 466 projects, 151 projects were awarded to Private Universities. Of the 151 projects approved to state private universities and colleges throughout India, the five-and-a-half-year young varsity was awarded 10 projects. 10 professors from various Science and Engineering Departments brought this incredible achievement to the university.

    SERB-SURE is a research grant scheme initiated by the Science and Engineering Research Board (SERB) in India to provide financial support to young researchers in the early stages of their careers. The grants are intended to support research in basic and applied sciences, engineering, and technology and is typically granted for a period of three years.The SERB-SURE scheme is one of several initiatives by SERB to promote scientific research in India and support the development of a strong research community in the country.

    “It is a milestone achievement that resonates with the University’s unparalleled commitment for excellence. We are striving towards research-intensive learning to build cutting-edge innovation for a transformative tomorrow”, commented Vice Chancellor, Prof. Manoj K Arora. The Executive Director-Research of SRM Group, Prof. Narayana Rao said that, “SRM University-AP has travailed hard to achieve the world-class scientific temperament that we now advocate, and this achievement is a testimonial recognition of all our efforts.” The prestigious grants were sanctioned to the faculty in the on-going domains of Quantum Kinetic Approach, Antimicrobial Resistance (AMR) Profiling and Changing of Hydroclimatic conditions in Bay of Bengal among 7 others.

    Dean-SEAS, Prof. Ranjith Thapa said, “These research could be path-breaking and could offer a solution to many of the societal difficulties.” Prof. Jayaseelan Murugaiyan, Dr Sandeep Singh and Dr Pitchaiah Cherukuri of the Department of Biological Sciences; Dr Sabyasachi Chakrabortty, Dr V S Baswanth Oruganti of the Department of Chemistry; Dr Debabrata Pramanik, Dr Ravi Kumar and Dr Pankaj Bhalla  of the Department of Physics ; Dr Sandeep Kumar Verma of the Department of Mathematics; Dr Uma Maheswar Arepalli of the Department of Civil Engineering; and Dr Kousik Das of the Department of Environmental Science and Engineering were awarded the grants.

    Continue reading →
  • Koecher-Maass Series have Infinitely Many Critical Zeros March 24, 2023

    Dr-Manish-Kumar-Pandey

    Dr Manish Kumar Pandey, Assistant Professor, Department of Mathematics, has published a paper titled, “Koecher–Maass series have infinitely many critical zeros” in the journal Bull. London Math. Soc. having an Impact Factor of 2.396.

    Abstract

    The article studies the zeros of the Koecher-Maass series associated with a Siegel cusp form of degree 2. It is proved that the Koecher-Maass series associated with a Siegel cusp form has infinitely many zeros on the critical line.

    Practical implementation

    It is well known that zeros of the Riemann zeta function have connections with prime numbers. In a similar fashion, one can state the behaviour of the coefficients of such series at primes. These are results of pure mathematical flavour and their immediate application will take time.

    Collaborations

      1. Dr Jaban Meher, National Institute of Science Education and Research (NISER), Bhubaneshwar
      2. Dr Karamdeo Shankhadhar, Indian Institutes of Science Education and Research (IISER), Bhopal

    Read More

    Continue reading →

TOP