Research News

  • In conversation with Prof B S Murty, Director, IIT Hyderabad May 11, 2022

    B S Murty

    SRM University-AP organised an interactive session with Prof B S Murty, Director, IIT Hyderabad, on May 7, 2022, to enhance the research collaborations and capabilities of the institution. Honourable Vice-Chancellor, Prof V S Rao; Pro Vice-Chancellor, Prof D Narayana Rao, all the faculty members, and research scholars took part in the conference.

    The meeting deliberated on the need to develop platforms for effective research collaborations across multiple disciplines to maintain successful research careers. It accentuated on the necessity of bringing together inter-disciplinary resources, culture, talent, and scientific knowledge to enhance the depth and breadth of research capabilities. Building intensive research networks and making relevant contributions towards the inclusive development of the society were the major focus points of the discussion.

    Prof V S Rao welcomed the gathering and introduced the guest of the day, Prof B S Murty. He reminisced over the long association with Prof Murty, the much renowned Indian metallurgist who has been recognised with the highest science award in the country.

    Prof B S Murty put forward the need for bringing multidisciplinarity into the engineering course framework. According to him, the cross-pollination of ideas across the disciplines of technology, medicine, and environmental management is the ideal way to encourage inclusive development in society. He mentioned a few such pioneering programmes such as M.Tech in Medical Device Innovation and E-Waste Management, B.Tech in Computational Engineering and Microelectronics introduced in IIT Hyderabad. He concluded the session by emphasising the vitality of accelerating research across the healthcare sector as well as the need for orienting research in tune with the industrial demands.

    Prof D Narayana Rao gave a brief overview of the research culture nurtured in the university. He presented the list of research publications, patent publications and various other accomplishments of the university’s faculty and students. He also gave a brief introduction to the various centres of excellence established at the university. By giving an outlay of the initiatives such as research collaborations with AIIMS Mangalagiri, SVMC Tirupati, and multiple other programmes like the University Distinguished Lecture Series, he shed light on the steps taken by the institution to promote research and development activities across the region. Prof Narayana Rao solicited collaboration with IIT Hyderabad, particularly in the areas of Artificial Intelligence (AI), additive manufacturing of bio-implants, and battery electrodes for Li-ion batteries.

    Continue reading →
  • The network of mindfulness, leadership, and performing arts May 6, 2022

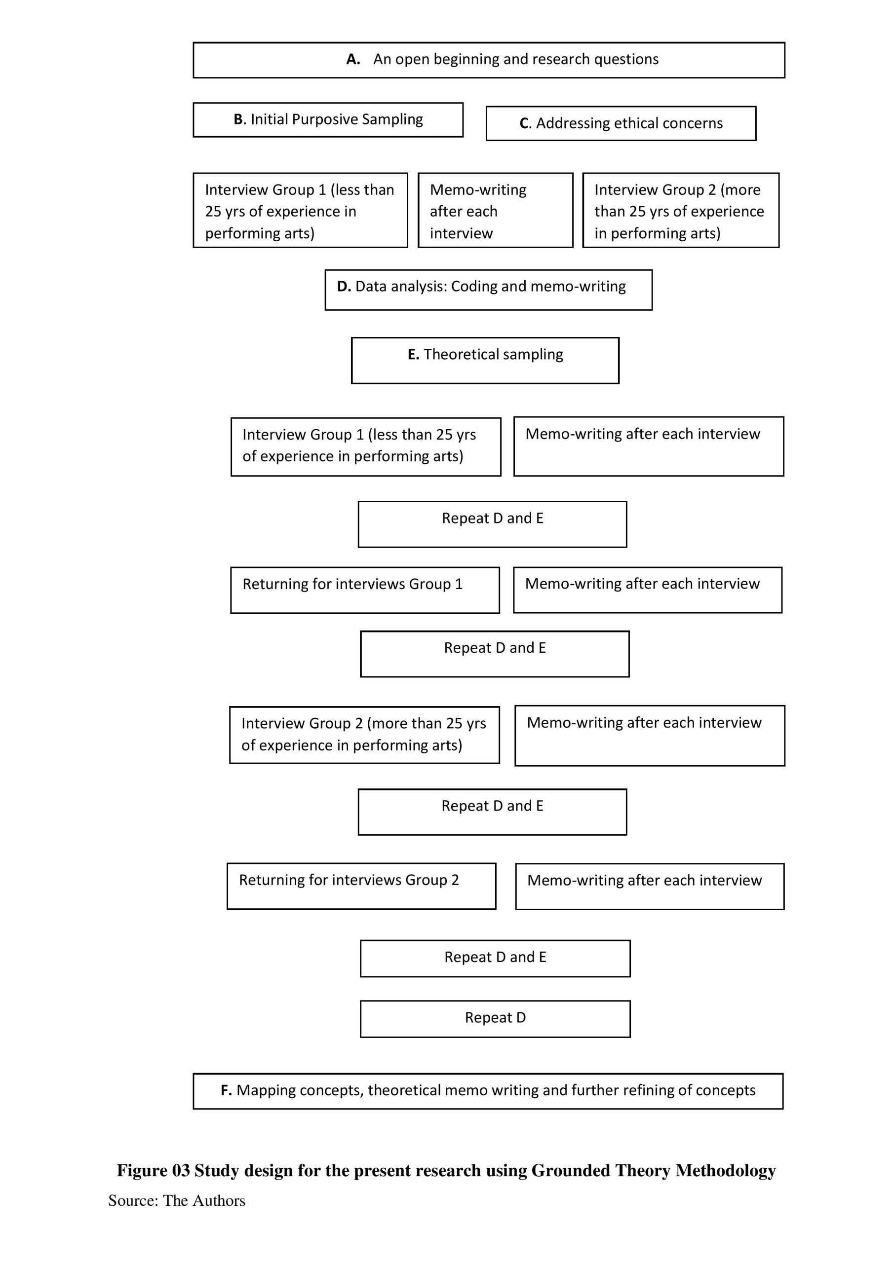
    paper publicationMindfulness, leadership, and performing arts have deep interconnections that, if approached theoretically, can give productive outcomes to implement in workplaces and potential employees. The School of Entrepreneurship and Management Studies is delighted to inform you that the paper titled ‘Exploring mindfulness and leadership development: Lessons learned using grounded theory through the study of the performing arts’ by Dr Vimal Babu, Associate Professor, got published in the journal FIIB Business Review published by SAGE publication.

    Abstract of the research

    The research looks at mindfulness mechanisms and leadership characteristics as they are expressed in performing art forms. This qualitative study examines major categories to create a theoretical framework for mindful leadership development using performing arts. The present study employs the research paradigm of interpretivism to investigate respondents’ experiences and unique phenomena. The Grounded theory (GT) methodology helps explore grounded data and the development of theories. The abstract core category ‘Immense Concentration and Self-Control’ captures the abstract and inclusive meaning as understood by the sample respondents. The qualitative coding analysis aided in the investigation of the data-driven abstract phenomena. According to the findings of this study, all performing artists require a higher level of attention and self-control to demonstrate fascinating performances like Koodiyattam. A higher level of attention and self-control can be ensured based on increased mindfulness, identified leadership attributes, motivation components, values and beliefs, and personality dispositions of the performing artists. In-depth theoretical reflections on the relationships between the relevant categories are presented. The relationships between the five major categories of mindfulness processes, leadership abilities, motivation components, values and beliefs, and personality dispositions are very significant.

    Explanation of the research

    In simple terms, the present research explores the dynamics of mindfulness, leadership, and other potential variables enabling mindful leadership through performing arts, helping the practicing managers learn the innovative approaches to inculcate mindful leadership in employees in the workplace. To attain the research purpose, researchers studied the Koodiyattam performing arts as an instrument of mindfulness and leadership based on in-depth interviews of Koodiyattam performing artists. Since the present work explores deeper meanings and experiences to unearth unique and insightful phenomena, the Grounded Theory was appropriately employed as a methodology.

    Practical implementation of the research

    Managers and executives can derive valuable insights based on the present study. They would be able to understand the interconnections of mindfulness, leadership, and performing arts. It would offer them a better grounding to argue and introduce arts-based initiatives at their workplaces to enhance mindful leadership amongst potential employees aiming for well-being and career development in the organization. Several organizations have been experimenting with arts and its impact on business. However, the studies are in the nascent stage. Hence, more like-minded researchers need to join hands for diverse, global, and intercultural studies, focusing on different variables, including arts. The findings of the present research exhibit firm conviction in enlightening the industry practitioners to consider performing arts based mindful leadership training to enhance mindfulness and leadership attributes of the employees, in turn, making them productive and engaged workforce in the long run.

    For this research, Dr Vimal babu has collaborated with Dr Amresh Kumar, IIM, Bodh Gaya, India, and Vipin Kumar, PMP, BT India, Gurgaon, India. His future research plans are to work in strategic leadership, negotiation, and conflict management using innovative qualitative research methods. Entrepreneurship education and circular entrepreneurship are also an area of much interest.

    Continue reading →
  • SRM AP Team Meets ARCI: Mutual Discussions on Research Projects May 6, 2022

    The SRM University-AP team met Dr. Tata Narasinga Rao, Director, International Advanced Research Centre for Powder Metallurgy and New Materials (ARCI, Hyderabad) on 7 April 2022, Thursday. ARCI is an internationally acknowledged autonomous body under the Department of Science and Technology (DST), Government of India. Ten professors, led by SRM University Pro-Vice-Chancellor, Prof. D Narayana Rao, went to Hyderabad to meet the ARCI Director. Projects related to key advanced materials in the field of scientific research were discussed during the meeting. Discussions were held on research projects related to additive (3D) manufacturing, solar energy materials, automotive energy and nanomaterials. The SRM AP Professors; Prof. D Narayana Rao, Prof. G S Vinod Kumar and Prof. Ranjit Thapa explained the key points of the research to the ARCI Director. During the event, an understanding was reached on issues such as research partnership between the two organisations and the design of research facilities. Director Dr. Tata Narasinga Rao assured that ARCI would extend full cooperation in areas such as research assistance in the selected fields and provide other facilities. Prof. Narayana Rao affirmed that ARCI has agreed to provide necessary funds for the development of solid electrolytes used to manufacture Lithium Ion batteries.

    Continue reading →
  • Launching antenna-multiplexer for seamless IoMT connectivity May 2, 2022

    Dr Divya Chaturvedi, Assistant Professor, Department of Electronics and Communication Engineering, has come up with an exciting proposal for enhanced connectivity and high-speed data transmission across the Internet of Medical Things (IoMT) devices. Her research paper titled “Design of Antenna-Multiplexer for Seamless On-Body Internet of Medical Things (IoMT) Connectivity” has been published in the journal ‘IEEE Transactions on Circuits and Systems II: Express Briefs’, having an impact factor of 3.71. It was published in collaboration with Dr Arvind Kumar from Vellore Institute of Technology and Dr Imaculate Rosaline from Ramaiah Institute of Technology, Bangalore.

    The research looks into the design and development of a multi-band self-triplexing antenna for Medical Things (IoMT) applications. The antenna is designed to operate at 5.2, 5.5 and 5.8 GHz and self-isolation is achieved below -23.9 dB. It also offers seamless communication links to other devices operating at the same frequencies. The designed antenna is cost-effective and compact in size, that can easily fit into any implantable medical device. To avoid the harmful effect of radiation, the SAR value should be <1.6 W/kg. The SAR for this antenna is achieved at 0.362 W/kg in a very simple profile. Due to its compact size, the antenna can be easily mounted in a wireless portable device. The self- triplexing property of the device also enables full-duplex communication between different devices in a single antenna. This design suggestively simplifies the density of the RF front-end subsystem and leads to a simple and efficient communication system.

    Abstract of the Research

    Here, a compact design of antenna-multiplexer is engineered specifically to meet the stringent requirement imposed by intricate subsystems operating at 5.2, 5.5, and 5.8 GHz frequency bands for Internet of Medical Things (IoMT) applications. The proposed design includes a hexagonal-shaped substrate integrated waveguide (HSIW) cavity, tripole-shaped radiating slot, tuning vias, and three inset microstrip feedlines. A tripole-shaped slot is imprinted on the top of the SIW. This slot subdivides the cavity into trio-radiating segments and each segment offers a single frequency band. Further, the frequency bands are tuned at 5.2/5.5/5.8 GHz. The design maintains mutual port isolation better than 23.9 dB. Compared with the conventional tri-frequency antennas, the proposed design is highly compact and doesn’t need any additional circuitry to improve the port isolations. The measured results confirm the expected performance of the design. Furthermore, the proposed antenna is optimized within an implantable medical device (IMD) and simulated inside a realistic Human Head model at a depth of 3 mm and the Specific Absorption Rate (SAR) value is estimated. The SAR values are well below 0.362 W/Kg at the functioning bands due to the unidirectional radiation pattern from the antenna.

    Her future research plan includes designing and developing a cost-effective bra-like prototype of Antenna-Array Sensors for breast cancer detection.

    antenna multiplexerantenna multiplexer

    Continue reading →

  • Unwinding the transgender travails April 26, 2022

    transgender research paper

    Embracing one’s transgender identity is a tremendous act of courage in a world that refuses to acknowledge their very existence. The narrations of their trials and tribulations continue to prevail despite the measures taken by the state machinery to assert their rights or the transgender revolution that spilt over in recent times. So long as the society continues to deny them a conducive space to exert their existence, the transgender community will have to endure hardships in all walks of life. The present-day researchers have increasingly shifted their focus on the LGBTQIA+ community to unravel their survival tales and awaken the population to their basic human rights.

    Dr Anu Kuriakose, Assistant Professor from the Department of English, has also been looking into transgender lives and the anomalies in their representation. Her research analyses the inclusion and representation of transgender people in Indian films with a specific focus on the shift in representational politics and inclusive strategies in films of late. She has recently published a paper titled “Deconstructing the Trans-Inclusivity Myth in Chandigarh Kare Aashiqui” in the Economic and Political Weekly.

    The article offers a critical reading of the Hindi film Chandigarh Kare Aashiqui (2021), which appears to maintain an inclusive outlook towards the queer community. Through the article, Dr Anu draws attention to the glaring presence of transphobic and homophobic attributes even in such progressive films. Her research attempts to analyse whether there have been any significant shifts in trans representation and inclusion in contemporary cinema.

    She has also published two chapters, “The Impact of COVID 19 Pandemic on Employment and Livelihood Opportunities of Transgender Community in Kerala” and “The Double Marginalization of Transgender People During the COVID 19 Pandemic”, in the books COVID-19 Pandemic and the New Normal and Keralam in the Path of Survival respectively. The works recount the unspoken sufferings underwent by the transgender community in Kerala during the pandemic times. The chapters were co-authored by her peer, Dr Vinshi P K.

    Her upcoming research plans include addressing gender diversity and inclusion in academic discourses in the vernacular of Kerala and critically reviewing the representational politics of trans femininity in visual cultural texts. By researching the portrayals of transgender community, Dr Anu intends to enhance awareness on the deviant representation of queer community in the realms of literature.

    Continue reading →
  • High gain boost converter fed inverter for better power supply April 26, 2022

    The Department of Electrical and Electronics Engineering is glad to announce that Dr Ramanjaneya Reddy, Assistant Professor; his students, Mr Rahul Kotana and Ms SK Hima Bindu have published a paper titled “High Gain Boost Converter Fed Single-Phase Sine Pulse Width Modulated Inverter” in the journal ‘International Journal of Renewable Energy Research’ having a Scopus site score of 4.2.

    Abstract of the Research

    A high gain boost converter fed single-phase voltage source inverter with its control for DC to AC power conversion in uninterrupted power supply and renewable energy applications is presented in this paper. The conventional DC-DC boost converter with a coupled inductor and switched capacitor is utilised to obtain high gain. Further, the output voltage of the inverter is controlled by the sinusoidal pulse width modulation technique. The detailed design and analysis of a high gain boost converter fed single-phase voltage source inverter is presented. The sine pulse width modulation control scheme for the voltage source inverter is also developed and presented. To validate the high gain boost converter fed single-phase voltage source inverter, the simulation model is developed in the LTspice software environment, and the results are validated. The results show high gain boost converter achieves a gain of about 10 and the single-phase voltage source inverter can provide an rms voltage of 228 V without using the step-up transformer. The total harmonic distortion of output current is found to be below 4.

    About the Research

    Energy is an essential factor for the functioning and economic development of the industrialized world. It plays a key role in our day-to-day life. On the other hand, energy management has become a critical factor for our successive economic prosperity. The energy consumption process frequently needs either DC-AC conversion or AC-DC conversion. The DC-AC conversion finds its major application in uninterrupted power supply (UPS) and renewable energy (RE). To supply during power outages, most UPS systems use batteries, usually lead-acid, as the storage mechanism. The battery is supposed to provide the backup in the absence of the grid supply. However, the voltage provided by the battery alone may not be enough to provide the backup. At first, the battery output power which is DC needs to be converted to AC with the help of an inverter. Apparently, the output of the inverter needs to be stepped up with the help of a step-up transformer to achieve an output of 220V 50Hz. An alternative approach to the same process is by using a power electronic converter called the DC-DC boost converter. The boosting of battery/PV voltage can be achieved with the help of a standard boost converter as shown in Fig. 1(b), or by using a battery capable of supplying higher voltage and a step-up transformer as shown in Fig. 1(a). High power batteries and step-up transformers can be eliminated if a high gain boost (HGB) converter is used instead of a standard boost converter. The HGB converter fed DC-AC conversion system is presented in this paper which eliminates the step-up transformer. The circuit configuration of the proposed work is depicted in Fig. 2.

    Practical Implementations of the Research

    The DC-AC conversion method proposed is based on the HGB converter fed single-phase SPWM inverter. The proposed model is best suited when a low voltage DC supply is available, and a standard 230V AC output is needed to deliver the load. The detailed design and analysis of the HGB converter are carried out, and the gain of the converter is achieved at around 10, which is very high compared with conventional boost converter topologies. A unipolar SPWM control scheme is developed in LTspice to control the single-phase VSI. The simulation results of the complete DC-AC conversion system are in close agreement with the design parameters. Further, the total harmonic distortion of the output current waveform is around 4% which is well below the international standards. In addition, the complete model consisting of both HGB converter and single-phase VSI are successfully simulated for an input of 36 V DC and produced an rms output voltage of 228 V.

    In future, the DC-AC conversion method based on a high gain boost converter can be extended with the three-phase voltage source inverter with electric drive applications.

    high gain boost converter

    high gain boost converter 2

    Continue reading →
  • C-SMILE: Pertinent feedbacks and effective learning April 21, 2022

     

    C-SMILE

    The correct analogy for the mind is not a vessel that needs filling, but wood that needs igniting” – Plutarch

    Where would you go to get the most appropriate feedback to improve your learning? Whom would you approach? An active learner requires continuous assessment. Exposure to relevant remarks can make a significant impact in the learning output. Choosing the right source of feedback is important to locate your position in the learning ecosystem. This is where C-SMILE enters the frame.

    The Department of Computer Science and Engineering is delighted to inform you that the patent application (202241010415) entitled ‘Classification of Student’s Misconceptions in Individualized Learning Environments (C-SMILE)’ got published. The patent application was submitted by Associate professor Dr Sobin C C and BTech final year student Meka Varsha as part of the Capstone Project.

    C-SMILE is an innovative platform which allows students to take assessment and receive feedback based on their performance and misconceptions. This targets to refine their conceptual and individualised learning. The platform offers the benefits of automated identification of misconceptions and classification of their level of conceptual clarity. This eventually leads to pertinent feedbacks and ensures quality learning. It also helps engineering educators to classify their students into different categories based on their level of conceptual clarity. Short quizzes and multi-level assessments can utilise the objective of this platform.

    Dr Sobin C C and Meka Varsha have collaborated with Mr Subheesh N P from IIT Madras and Mr Jahfar Ali from IIT Hyderabad as part of this work. The team has already published 2 conference papers. One of them is in the prestigious IEEE Global Engineering Education Conference (EDUCON 2022), which is the flagship conference of IEEE Education Society.

    The researchers are now working on to extend this concept to incorporate Bloom’s taxonomy to formulate more specific questions based on their level in the cognitive domain.

    Continue reading →
  • Optimising the anaerobic digestion process April 18, 2022

    anaerobic digestion

    Publishing a paper in the second-best journal in the discipline of Environmental Engineering and having an impact factor of 9.7 is obviously a significant achievement. The Department of Environmental Science is elated to inform you that the paper, “Dynamic Simulation and Optimization of Anaerobic Digestion Processes using MATLAB” has been published by Dr Karthik Rajendran, Assistant Professor of Environmental Science, and his PhD student, Mr Prabhakaran G in ‘Bioresource Technology’ journal.

    Abstract of the research

    Time series-based modelling provides a fundamental understanding of process fluctuations in an anaerobic digestion process. However, such models are scarce in literature. In this work, a dynamic model was developed based on modified Hill’s model using MATLAB, which can predict biomethane production with time series. This model can predict the biomethane production for both batch and continuous processes, across substrates and at diverse conditions such as total solids, loading rate, and days of operation. The deviation between the literature and the developed model was less than ±7.6%, which shows the accuracy and robustness of this model. Moreover, statistical analysis showed there was no significant difference between literature and simulation, verifying the null hypothesis. Finding a steady and optimized loading rate was necessary from an industrial perspective, which usually requires extensive experimental data. With the developed model, a stable and optimal methane yield generating loading rate could be identified at minimal input.

    About the research

    Anaerobic Digestion (AD) is a natural process that converts organic waste into biogas, in the absence of oxygen, which can be used as cooking fuel or for electricity generation. Biogas generation depends on various operational parameters of the AD processes like temperature, organic loading rate, and pH. For example, the speed of a car depends on various parameters like mileage per litre, type of fuel (petrol or diesel), engine power, type of gear, and road type. The optimum speed of a car can be defined by the manufacturer. Likewise, the optimum biogas/ biomethane can be calculated by computer simulations. If the loading rate is increased, the biogas yield increases up to a particular time and then decreases due to overloading like human bodies (eating a large amount of food may strain or cause failure of the digestive system), then the biogas plant will be a failure.

    Optimising the loading rate through experiment was not easy, as multiple trials were necessary and it will take a longer time and high cost. In this work, the researchers did the optimisation based on the loading rate over the time period. The loading rate was optimised to maximum methane production, which also showed the region of stability from an operational perspective.

    Practical implementations of the research

    The practical implications of this work are, to use it in real-time operations of an AD plant and in research laboratories to estimate the best region of operation in terms of loading rate and yield. This work shows that longer days of operation could optimise better loading rates or could help in reaching a steady-state condition in real-time biogas plants.

    Future research plans

    Real-time biogas plants are deficient in the availability of data to do the computer simulation by using the mathematical model. To overcome this problem, researchers are planning to do Artificial Intelligence (Machine learning)- based biogas prediction by data-driven techniques. It will reduce the complexity with higher accuracy. In future, the machine learning model will integrate with real-time bioreactor for self-diagnosis and better decision making.

    anaerobic digestion

    anaerobic digestion

     

    Continue reading →

  • Supercapacitor electrodes for enhanced energy storage April 18, 2022

    super capacitor electrodes

    The Department of Physics is happy to announce that Prof Ranjit Thapa and his PhD Scholar Mr Samadhan Kapse have published a paper titled “Supercapacitor electrodes based on quasi-one-dimensional van der Waals TiS3 nanosheets: experimental findings and theoretical validation” in the Nature indexed journal ‘Applied Physics Letters’ having an impact factor of 3.79. The Paper is published in collaboration with Abhinandan Patra and Chandra Sekhar Rout from Jain University and Dattatray J Late from Amity University.

    Abstract of the Research

    To cease the ever-increasing energy demand, additional enthusiastic focus has been given to generate more sustainable energy from alternative renewable sources. The storage of these energies for future usage solely depends on the energy storage devices. A diversity of electrode materials based on two-dimensional (2D) transition metals and their derivatives have enticed the whole world owing to their tunable properties. Transition metal trichalcogenides (TMTCs- MX3 type) is the emergent class of 2D materials that gathered a lot of interest because of their quasi-one-dimensional anisotropic properties with the van der Waals force of attraction in between the layers. Herein, TiS3 being an MX3-type of material is preferred as the electrode for supercapacitor application with detailed experimental investigations and theoretical validation. The highest capacitance attained for TiS3 is found to be 235 F/g (105 C/g) at 5 mV/s with a battery type of charge storage mechanism. The asymmetric device is fabricated using Ti3C2Tx MXene nanosheets as negative electrode and a brilliant 91 % of capacitance retention is accomplished with an extensive potential window of 1.5 V. The investigational discoveries are substantiated by theoretical simulation in terms of the quantum capacitance assessment and charge storage mechanisms.

    About the Research

    In this work, a battery type TMTC material i.e., TiS3 has been synthesized and characterized by different analytical techniques such as Raman spectroscopy, FESEM and TEM to gain information on its structural and morphological aspects. The electrochemical performance was found to be promising by considering its good energy storage performance. High capacitance of 235 F/g (105 C/g) at 5 mV/s was achieved and the asymmetric supercapacitor devices disclosed outstanding cycling stability of 91 % over 6000 GCD cycles. In addition, the theoretical simulations also validated the experimental findings through the evaluation of the quantum capacitance. The higher conductivity, abundant electrochemical active sites, swift faradic redox kinetics and well-connected pathway for ion transfer characteristics pave the way for TiS3 to emerge as an eminent material for energy storage application in the long run.

    Social Implications

    Energy storage devices come into picture whenever there is a prerequisite of storing renewable energy. Among the numerous energy storage devices, batteries and ultracapacitors have acquired more popularity in nanotechnology and optoelectronics field. The high stability, accuracy, swift functionality, power density and reversibility are the key factors that have positioned ultracapacitors at the forefront of all energy storage devices. On the contrary, the low energy density and high cost of supercapacitor electrodes try to put them in the back seat of the wheels of the energy industry. Henceforth, in recent times the development of supercapattery (abbreviated for supercapacitor and battery) types of materials has become a way out which tie the aces like high specific power of supercapacitors with the high energy density of batteries. These materials exhibit capacitive or battery type behaviour on the basis of materials properties, electrolytic ions, design of the electrochemical cell. Due to these advantages and superior energy storage performance, the demand for this kind of material is growing.

    Theoretical quantum capacitance is an important parameter to investigate the supercapacitor performance of low dimensional materials such as electrodes. This approach is highly cost-effective for the rapid screening of various materials for supercapacitor applications.

    Continue reading →

  • Accelerating research in the Quantum-dot Cellular Automata domain April 16, 2022

    The Department of Electronics and Communication Engineering is glad to announce that our PhD scholar, Mr Vasudeva Bevara and BTech students, Mr Shakamuri Narendra Chowdary and Mr Bolem Venkata Surendra Babu, published a paper titled ‘High performance 2n: 1: 2n Reversible MUX/DEMUX Architecture for Quantum-dot Cellular Automata’ in the international journal ‘Numerical Modelling: Electronic Networks, Devices and Fields (SCI Index)’ under the supervision of Dr Pradyut Kumar Sanki.

    Abstract of the Research

    Quantum-dot Cellular Automata (QCA) lead to fundamental changes in nanoscale technology. It promises small area, low power & high-speed structures for digital circuit design. This paper presents efficient low power structures of Reversible Multiplexer & Demultiplexer (RMD) modules based on the QCA technology. The simulation result shows that the proposed RMD modules have utilised less area & low power consumption. The simulation, layout & energy dissipation analysis of the proposed RMD module has been carried out using the QCA Designer-E simulation tool.

    Essentially, CMOS is used as a well-known traditional technology in the design of the Very Large-Scale Integration (VLSI) circuits, which leads to the introduction of QCA as new nanotechnology to overcome the limitations of CMOS technology, such as material, physical, power, heat & economic challenges.

    In reversible computation, the power dissipation occurs only when the computation is started or when the output is permanently stored. The reversible logic circuits are being investigated to prevent data loss in irreversible logic circuits. The reversible logic circuits provide zero loss of energy/information making the logic circuits the most suitable for QCA nanotechnologies. This has resulted in widespread interest in the design of reversible logic circuits based on QCA over the last few years.

    In this paper, a modular 2n: 1 reversible multiplexer & 1: 2n reversible demultiplexer design in a single circuit is proposed. The 2:1 multiplexer & 1: 2 demultiplexer is realised in a single module i.e., 3 × 3 RMD. The 3 × 3 RMD is formed fundamental building block of the modular 2n: 1 reversible multiplexer & 1: 2n reversible demultiplexer design is extended to large RMD design.

    Practical Implementations of the Research

    This work can push forward research in the QCA domain and overcome the limitations of Complementary Metal Oxide Semiconductor (CMOS) technology. Soon the era of Beyond CMOS will start as the scaling of the current CMOS technology will reach the fundamental limit. QCA (Quantum-dot Cellular Automata) is the transistor less computation paradigm and viable candidate for Beyond CMOS device technology.

    So, they have implemented the High Performance 2n: 1: 2n Reversible MUX/DEMUX Architecture for Quantum-dot Cellular Automata compared to other researcher works. In future, the research team would like to explore deeper into QCA technology and design efficient circuits which are small sized, with less cell count and less power consumption.

    quantum dot cellular automataquantum dot cellular automataquantum dot cellular automata

    Continue reading →